Interesting game. In a Las Vegas casino, a dice is being thrown. If one is rolled, the player wins $100. The cost of participation in this game is $20. Would you agree to participate in this game? A lot of people would like a solid win, but those who are familiar with the concept of mathematical expectation will refuse to play.
A little theory. Mathematical expectation is a generalization of the concept of average, defined through probability. If, in a certain game, you can win v1 dollars with probability p1, v2 with probability p2, etc., then your average win (i.e., mathematical expectation of your win) is determined by the formula:

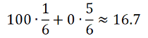
Solution. In our game, you win $100 if you roll 1, or $0 if you roll 2, 3, 4, 5 or 6. The probability of rolling 1 is 1/6 (since the total number of outcomes is 6). The probability of rolling 2, 3, 4, 5, or 6 is 5/6. From here, using the formula above, our average winnings are:

We see that the average winnings are less than the cost of participation ($20), so we are better off refusing.
Sports betting. Here's another game. Your favorite baseball team is playing, having won 30 games out of 100 in the past. The bookmaker offers you to bet $1000 on this team's win with odds of 1.7. This means that if you win, you will be paid $1,700. Big money with which you can buy sports equipment or go on a trip to Bryce Canyon! But don't rush to it. Looking at the statistics of past games, the probability that your team will win is 30/100 = 3/10, and the probability of them losing (in which the bookmaker will not give you anything) is 70/100 = 7/10. Hence, the mathematical expectation of your profit without taking into account the bet is equal to:

That is, having given your $1000, on average, you will then earn only $510. Don't play this game!
Note: The calculation above assumes that we don't know anything about the ability of the other team. Had we known how good the other team was, the results would have been different.
More on game theory: Introduction to Game Theory | Find a probability tutor
Would you like your child to be challenged in math?
Join our exclusive online Russian Math BYOM classes!
| Private Lessons | Group Lessons |